Skip to main content

Featured

Nhs Pay Rise Calculator

Nhs Pay Rise Calculator . Read about the announcement the government made yesterday (19 july) on the pay award for nhs staff. What a £1400 increase looks like for the average nurse. Nhs Pay Rise Table Pay offer for 2017 18 what it means for you from otsutsukinetico.blogspot.com What are nhs staff next getting a pay rise? Nhs pay rise calculator 2022. Nhs band 2 starts at £20,758 & goes up to £21,318 (2 pay steps) full time | part time.

How To Calculate A Resultant Force


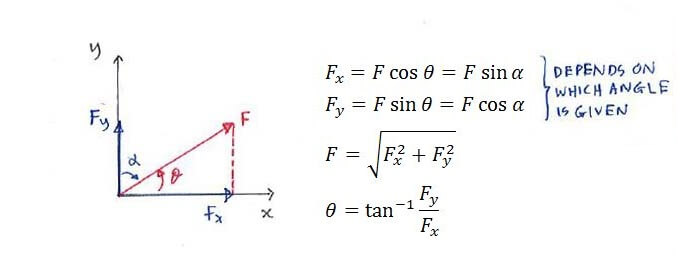
How To Calculate A Resultant Force. The angle between the two forces is 30°. The forces and angles must each.

Resultant forces Presentation Physics
Resultant forces Presentation Physics from www.sliderbase.com

1.14 understand that force is a vector quantity. All the forces have their own x and y component. Steps to find the magnitude and direction angle of the resultant force of two vectors step 1:

The Forces And Angles Must Each.


We do not add vertical forces as the movement of the car and trailer will be in a horizontal direction, and not. If f 1, f 2, f 3,… are the forces acting on a body, the resulting force r f is calculated as follows: Let's call this force {eq}f_1.

1.14 Understand That Force Is A Vector Quantity;


Three forces of equal magnitudes are acting on a body. Driving force = resultant force + resistance force due to friction. A video tutorial from our e.

The Formula For The Resultant Force Is As Follows:


To find the magnitude and angle of a resultant force we create vector equations for each of the given forces add the vector equations together to get the vector equation of the. The head to tail method to calculate a resultant which involves lining up the head of the one vector with the tail of the other. 1.16 know that friction is a force that opposes motion;

The Resultant Force Equation Is, R = Ma Here R Is The Vector Sum Of Vector Forces Such As F1, F2, F3,.


Create vector equations for each of the. To find the resultant force we need to add all the horizontal forces together. F r = f 1 + f 2 + f 3.

To Find The Magnitude And Angle Of A Resultant Force, We.


The resultant of two vectors can be done in different methods like (1) using the triangle law, (2) using the law of parallelogram, and (3) using rectangular components &. The magnitude of the resultant force f r can be determined by measuring the length of the diagonal pb and multiplying it by the scale of the diagram (1 cm =10 n in this instance). Then choose the correct statement.


Comments

Popular Posts